空港花園安置房小區房屋租賃競拍公告
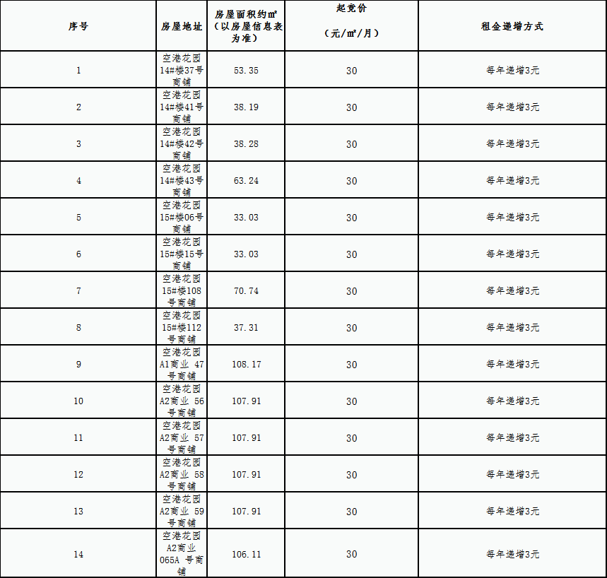
一、本次競拍承包的房屋如下:

注:每間商鋪的租賃經營權均為單獨競拍。
二、本次競拍采用有聲有底價競拍方式。
三、有關本次競拍的規則在南昌金開楓林物業管理有限公司報名點向公眾發放。所有咨詢答復以書面形式為準。
四、競拍個人或企業在報名時須提供個人身份證原件、企業法人營業執照復印件加蓋單位公章、法定代表人身份證明材料(或授權委托書)及本人身份證復印件(加蓋單位公章及原件備查),參加競拍個人或企業須交報名費500元(報名后不退還)及競拍保證金5000元,否則不具備競拍資格,未中標者競拍保證金予以退還。中標人需在中標后一周內簽訂房屋租賃合同及物業服務合同,且在簽訂合同之日內一次性交清租賃合同履約保證金(合同第五年季度租金)及預繳首季度租金與首年度物業費后,競拍保證金才能予以退還,否則做廢標處理。競拍人中標后不履行競拍義務或未按時簽訂房屋租賃及物業服務合同,未按時繳納租賃合同履約保證金及首年季度租金與年度物業費者不予退還競拍保證金。
五、競拍個人或企業應為中華人民共和國境內合法注冊的具有獨立法人資格的個人或單位。競拍個人或企業按要求實名報名后,需親自參加競拍,親自經營,不得轉租、分租。
六、經營業態:不得經營具有影響商業價值或污染環境的業態(不得影響居民生活,造成投訴),不得違反國家法律法規相關規定。中標人須向招租單位申報具體經營業態,且經招租單位同意后方可經營(招租人對中標人經營業態的審批不視為對中標人經營行為的認可,中標人的經營行為及經營過程中所產生的法律責任及其他不良后果均由中標人自行承擔,招租人不承擔任何責任),否則作廢標處理。
七、報名時間:發布公告之日起5個工作日為一個競拍周期,每個競拍周期滿后若收到超過3人報名則組織競拍,若未收到3人報名則進入下一個競拍周期,將在南昌金開集團有限公司官網公布租賃商務條款的調整信息。
八、中標人及直接委托人定義:每一個競拍周期報名結束后,有三個及以上報名人,將按照本公告規定的競拍規則進行公開競拍;當報名人數少于3人,則本次招租失敗。若連續二次招租失敗,在第三次競拍報名期間(累計前2次)只有2人報名時,經招租人批準后,可采取現場比價方式,但不得低于招租底價;若只有1人報名時,經招租人批準后,可采取直接委托方式,委托租金單價為30元/㎡/月。本次競拍只承認第一中標人,不按排名順延中標人權利。
九、報名地點:南昌市贛江新區河下路99號金贛服務中心C棟(3號樓)717室
十、競拍時間:視報名情況另行通知,競拍人必須按另行通知規定時間進場簽到,否則作棄權處理。
特別說明:(1)本次招租房屋涉及電表,水表、燃氣等需中標人或直接委托人自費自行開戶(包括材料及施工費用),房屋以現狀出租,涉及一切維修改造工程產生的費用(包括但不限于房屋漏水、玻璃破損等)均由中標人自行承擔,消防報建及其它審批手續中標人自行辦理。
(2)租金不含物業管理費,需另外按每月2元/㎡收取,裝修免租期為3個月,裝修免租期內需正常繳納。
最終解釋權歸南昌金開楓林物業管理有限公司所有。
銀行帳戶:南昌金開楓林物業管理有限公司
開戶銀行:中國農業銀行南昌昌北支行營業部
帳 號:14-014101040037343
咨詢電話:歐先生15079599953 戴先生15270023751
南昌金開楓林物業管理有限公司
2024年7月24日
空港花園安置房小區房屋租賃競拍規則
一、競拍人(含個人及企業,下同)應按主拍人提出的加價幅度進行競拍,競拍價按每月每平方米報價,房屋競拍成功后按租期最后一年季度租金金額繳納合同履約保證金中標人一周內簽訂合同,履約保證金及預繳首年一個季度租金與季度物業費在簽訂合同之日內一次性交清,否則做廢標處理。二、本次競拍采用有底價、有聲競拍的形式。競拍開始后,首次叫價為增幅后報價,不低于30.5元/平方米/月,每次報價增幅最低不低于0.5元/平方米/月的整倍數,如出現競拍人僅舉牌不叫價情況,即默認為在上一輪叫價基礎上增加0.5元/平方米/月,否則應價無效。當最高價(超過底價)未有人追加競價時,主拍人對該價重復三次報價,第三次重復報價無人應價,由主拍人宣布成交。本次競拍取達到底價的最高報價人作為中標人,中標人若放棄中標人權力,不按排名順延中標人,我司將做廢標處理。
三、本次競拍只報起競價,房屋每間租金起競價為:

四、競拍人應遵守大會的會場秩序,服從會場管理,對擾亂會場秩序,影響會議正常進行的,取消競拍資格且沒收競拍保證金。
五、競拍開始后,不解答競拍人提出的任何問題,請競拍人會前對競拍公告及本規則仔細研究,提出咨詢。
六、競拍人必須憑本人身份證實名報名,本人親自參加競拍,親自經營。如果經營者以他人名義競拍,對其經營中的一切問題和后果均不負任何責任。
七、競拍報名人憑報名收據領取號牌(一牌限兩人入場),只供本人使用或書面委托他人使用。書面委托他人的,競拍人須向招租單位出示書面委托書,被委托人須持委托書和本人身份證向招租單位申請競拍資格。中途發現冒名頂替或串通作弊的,招租單位有權中止其競拍資格,并沒收其競拍保證金。未經允許交他人使用的,其后果由競拍人本人負責。應價時應舉牌同時高聲報價。
八、中標個人或企業在中標后一周內簽訂房屋租賃及物業服務合同,簽訂合同當天需繳納租賃合同履約保證金及首季度租金與年度物業費,否則招租單位有權選擇作廢標處理,競拍保證金不予退還。該競拍者不得提出任何異議。
特別說明:(1)本次招租房屋涉及電表,水表、燃氣等需中標人或直接委托人自費自行開戶(包括材料及施工費用),房屋以現狀出租,涉及一切維修改造工程產生的費用(包括但不限于房屋漏水、玻璃破損等)均由中標人自行承擔,消防報建及其它審批手續中標人自行辦理。
(2)租金不含物業管理費,需另外按每月2元/㎡收取,裝修免租期為3個月,裝修免租期內需正常繳納。
最終解釋權歸南昌金開楓林物業管理有限公司所有。
南昌金開楓林物業管理有限公司
2024年7月24日
2024年7月24日